Skip to main content

Featured

Ecg Calculated P Axis

Ecg Calculated P Axis . The axis is calculated (to the nearest. One of the key steps in interpreting an electrocardiogram (ekg) is determining the electrical axis of the heart. PPT ECG interpretation for beginners 1 PowerPoint Presentation from www.slideserve.com But when we mention axis deviation, it is usually the mean electrical axis of the. The axis can also be approximated. Ventricular rate = 83 atrial rate = 83 pr interval = 132 qrs duration = 80 qt interval = 388 qtc calculation = 455 p axis = 14 r axis = 44 t axis = 27 18 year old female is this normal?

How To Calculate Auc In R


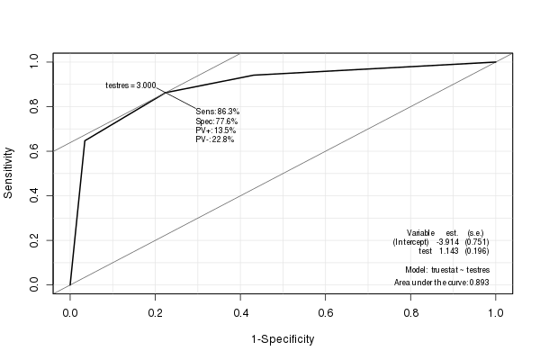
How To Calculate Auc In R. We start with basic roc graph, learn how to extract thresholds. The auc (area under curve) of this roc curve helps us to determine the specificity and sensitivity of the model.

2020 VOLKSWAGEN POLO VIVO 1.4 COMFORTLINE (5DR 104804 on auc
2020 VOLKSWAGEN POLO VIVO 1.4 COMFORTLINE (5DR 104804 on auc from www.motusaa.co.za

I have fitted a svm model and created the roc curve with rocr package. The auc (area under curve) of this roc curve helps us to determine the specificity and sensitivity of the model. How to calculate the auc value for a ranger rf model?

The Auc (Area Under Curve) For This Particular Model Is 0.5602.


It is often used as a measure of a model’s performance. I have fitted a svm model and created the roc curve with rocr package. Auc is mainly for calculating the area under the curve that you have plotted.

How Is The Roc And Auc Calculated In R?


The closer the auc value is to the 1, the better the given model. How to calculate the auc value for a ranger rf model? How to calculate the number of occurrence of a given character in each row of a column of strings?

Sep 5, 2011 At 16:57.


As of july 2016, the package prroc. How can i compute the area under the curve (auc)? The roc is created by plotting false presences against true presences for a continuum of threshold values (conceptually an infinite number of values,.

The Auc (Area Under Curve) Of This Roc Curve Helps Us To Determine The Specificity And Sensitivity Of The Model.


Calculate area under the curve (auc) and area under the first moment curve (aumc) in a table format description. Typically, it is calculated by plotting the rate of false positives against false. In effect, auc is a measure between 0 and 1 of a model’s.

This Look As Like An Approximation.


We start with basic roc graph, learn how to extract thresholds. We can use the metrics.roc_auc_score () function to calculate the auc of the model: Recently microsoft data scientist bob horton wrote a very nice article on roc plots.


Comments

Popular Posts